File:Elektrilaengute-muutmisvoimalused-veega.png
From Intelligent Materials and Systems Lab
Size of this preview: 800 × 418 pixels. Other resolution: 1,272 × 665 pixels.
Original file (1,272 × 665 pixels, file size: 17 KB, MIME type: image/png)
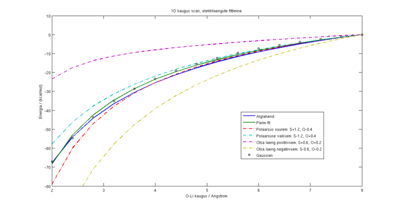
S ja O elektrilaengute fittimisprotsess Nafioni ahela otsa ja Li+-iooni vahel.
File history
Click on a date/time to view the file as it appeared at that time.
| Date/Time | Thumbnail | Dimensions | User | Comment | |
|---|---|---|---|---|---|
| current | 07:28, 2 June 2008 | 1,272 × 665 (17 KB) | Endel (talk | contribs) | S ja O elektrilaengute fittimisprotsess Nafioni ahela otsa ja Li+-iooni vahel. |
You cannot overwrite this file.
File usage
The following page uses this file: